-
시스템 프로그래밍 실습 14주차 : Synchronization 2System Programming/Ubuntu Linux 2021. 11. 24. 22:52728x90
시스템 프로그래밍 실습 14주차 : Synchronization 2
[목차]
- Deadlock
- Deadlock Prevention
1. Deadlock이란?
: 둘 이상의 프로세스가 다른 프로세스가 점유하고 있는 자원을 서로 기다릴 때 무한 대기에 빠지는 상황 / 교착 상태라고도 한다


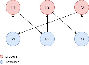
- P1과 P2가 리소스 A, B 둘 다를 얻어야 한다고 가정할 때, t1에 P1이 리소를 A를 얻고 P2가 리소스 B를 얻었다면 t2때 P1은 리소스 B를, P2는 리소스 A를 기다리게 됨. 하지만 서로 원하는 리소스가 상대방에게 할당되어 있기 때문에 이 두 프로세스는 무한정 기다리게 됨.

Deadlock 발생 조건
1) Mutal Exclusion (상호배제)
: 한 번에 프로세스 하나만 해당 자원을 사용할 수 있다. 사용 중인 자원을 다른 프로세스가 사용하려면 요청한 자원이 해제될 때까지 기다리는 상태
2) Hold and wait (점유 대기)
: 현재 프로세스에서 자원을 최소한 하나 보유하고, 다른 프로세스에 할당된 자원을 점유하기 위해 대기하는 상태
3) No preemption (비선점)
: 다른 프로세스에 이미 할당된 자원을 강제로 빼앗을 수 없다 / 선점이 시간 상의 선점이 아니라 우선권을 우선한다는 의미의 선점이다!
4) Circular wait (순환대기)

: 대기 프로세스의 집합이 순환 형태로 자원을 대기하고 있는 상태
=> Deadlock 해결방안!

1) 데드락이 발생하지 않도록 예방(prevention) 하기
2) 데드락 발생 가능성을 인정하면서도 적절하게 회피(avoidance) 하기
3) 데드락 발생을 허용하지만 데드락을 탐지(detection)하여, 데드락에서 회복하기
2. Deadlock Prevention
=> 데드락의 발생조건 4가지 중 하나라도 발생하지 않게 하는 것!!
1) Mutal Exclusion (상호배제) [사용 중인 자원을 다른 프로세스가 사용하려면 요청한 자원이 해제될 때까지 기다려야 한다]
: 한 번에 여러 프로세스가 공유 자원을 사용할 수 있게 함
-> 그러나 추후 동기화 관련 문제가 발생할 수 있다
2) Hold and wait (점유 대기) [현재 프로세스에서 자원을 최소한 하나 보유하고, 다른 프로세스에 할당된 자원을 점유하기 위해 대기하는 상태]
: 프로세스 실행에 필요한 모든 자원을 한꺼번에 요구하고 허용할 때까지 작업을 보류해서, 나중에 또다른 자원을 점유하기 위한 대기 조건을 성립하지 않도록 함
3) No preemption (비선점) [다른 프로세스에 이미 할당된 자원을 강제로 빼앗을 수 없다]
: 이미 다른 프로세스에게 할당된 자원이 선점권이 없다고 가정할 때, 높은 우선순위의 프로세스가 해당 자원을 선점할 수 있도록 함 /
4) Circular wait (순환대기) [ 대기 프로세스의 집합이 순환 형태로 자원을 대기하고 있는 상태]
: 자원을 순환 형태로 대기하지 않도록 일정한 한 쪽 방향으로만 자원을 요구할 수 있도록 함 / 자원에 고유한 번호를 할당하고, 번호 오름차순대로 자원을 요구하도록 한다


예시 1)
- Deadlock 발생되는 코드
#include <stdio.h> #include <pthread.h> #include <unistd.h> #include <time.h> #include <stdlib.h> #include <string.h> pthread_mutex_t lock1 = PTHREAD_MUTEX_INITIALIZER; pthread_mutex_t lock2 = PTHREAD_MUTEX_INITIALIZER; void *function(void* arg){ sleep(1); //main thread가 먼저 실행할 여지를 줌 printf("\t thread start\n"); pthread_mutex_lock(&lock2); pthread_mutex_lock(&lock1); printf("\t critical section \n"); pthread_mutex_unlock(&lock1); pthread_mutex_unlock(&lock2); printf("\t thread end\n"); } int main(){ pthread_t tid; printf("main thread start and create thread\n"); pthread_create(&tid,NULL,function,NULL); pthread_mutex_lock(&lock1); sleep(5); //thread가 lock2를 먼저 실행할 여유를 줌 pthread_mutex_lock(&lock2); printf("critical section \n"); pthread_mutex_unlock(&lock2); pthread_mutex_unlock(&lock1); pthread_join(tid,NULL); printf("main thread end\n"); }- 자원은 뮤텍스인 lock1과 lock2
- 각각 critical section을 pthread_mutex_lock을 통해 보호
- 메인 스레드가 우선 lock1을 점유하고, 이후 생성된 스레드는 lock2를 점유
- 바로 메인 스레드는 lock2를 점유하여 임계 영역에 진입하여야하는데 이미 생성된 스레드가 가지고 있다
-> lock2가 해제될때까지 기다린다
- 생성된 스레드는 lock2는 점유했고 lock1을 얻은 후에 임계 영역을 진입하려합니다. 하지만 lock1은 이미 메인 스레드에 의해 점유됨
-> lock1이 해제될때까지 기다려야 한다
Deadlock의 네 가지 조건에 해당!
1) Mutal Exclusion (상호배제) [사용 중인 자원을 다른 프로세스가 사용하려면 요청한 자원이 해제될 때까지 기다려야 한다]
- critical section으로 특정 한 스레드만 임계 영역에 진입할 수 있다 / 여기서 임계 영역이 중첩되어있다
2) Hold and wait (점유 대기) [현재 프로세스에서 자원을 최소한 하나 보유하고, 다른 프로세스에 할당된 자원을 점유하기 위해 대기하는 상태]
- 메인 스레드는 lock1을 점유하고 lock2가 해제되기를 기다리고 있고 생성된 스레드는 lock2를 점유하고 메인 스레드에 의해 lock1이 해제될때까지 기다리고 있다
3) No preemption (비선점) [다른 프로세스에 이미 할당된 자원을 강제로 빼앗을 수 없다]
- 서로 강제로 lock1, lock2를 가져올 수 없다
4) Circular wait (순환대기) [ 대기 프로세스의 집합이 순환 형태로 자원을 대기하고 있는 상태]
- 다음과 같은 순환이 된다

-> 실행결과 : 끝나지 않게 된다
$ ./a.out main thread start and create thread thread start- Deadlock 해결 코드
#include <stdio.h> #include <pthread.h> #include <unistd.h> #include <time.h> #include <stdlib.h> #include <string.h> pthread_mutex_t lock1 = PTHREAD_MUTEX_INITIALIZER; pthread_mutex_t lock2 = PTHREAD_MUTEX_INITIALIZER; void *function(void* arg){ struct timespec tout; struct tm* t; int locked; sleep(1); //main thread가 먼저 실행할 여지를 줌 printf("\t thread start\n"); clock_gettime(CLOCK_REALTIME,&tout); tout.tv_sec += 5; pthread_mutex_lock(&lock2); locked = pthread_mutex_timedlock(&lock1,&tout); //5초간만 lock이 걸림 printf("\t critical section \n"); if(locked == 0){ pthread_mutex_unlock(&lock1); } pthread_mutex_unlock(&lock2); printf("\t thread end\n"); } int main(){ pthread_t tid; printf("main thread start and create thread\n"); pthread_create(&tid,NULL,function,NULL); pthread_mutex_lock(&lock1); sleep(5); //thread가 lock2를 먼저 실행할 여유를 줌 pthread_mutex_lock(&lock2); printf("critical section \n"); pthread_mutex_unlock(&lock2); pthread_mutex_unlock(&lock1); pthread_join(tid,NULL); printf("main thread end\n"); }- pthread_mutex_timed_lock 함수는 특정 시간동안 lock을 얻을 수 없다면 뮤텍스를 잠그지 않고 ETIMEDOUT이라는 오류 부호를 돌려준다. 따라서 스레드가 무한정 차단되지 않게 만든다.
-> 실행 결과
$ ./a.out main thread start and create thread thread start critical section critical section thread end main thread end예시 2)





https://chanhuiseok.github.io/posts/cs-2/
[운영체제] 데드락(Deadlock, 교착 상태)이란?
컴퓨터/IT/알고리즘 정리 블로그
chanhuiseok.github.io
https://jwprogramming.tistory.com/12
Deadlock 개념이란? 그에 대한 해결책/회피책
OS에 대해 기본적인 상식 중 Deadlock으로 운영체제 부분을 시작 해볼까 합니다. 먼저, DeadLock의 개념입니다. 1. DeadLock의 개념 - 프로세스가 자원을 얻지 못해 다음 처리를 하지 못하는 상태로, ‘
jwprogramming.tistory.com
https://reakwon.tistory.com/120
[운영체제/리눅스] 교착상태(deadlock)의 원인과 쓰레드를 통한 교착상태 발생 예제와 회피방법(pthr
교착상태(Deadlock) deadlock... 이름도 뭣같이 무섭네요. 교착상태라고 하는 것은 다중 프로그래밍 시스템에서 프로세스 혹은 스레드가 결코 일어나지 않을 일을 무한정으로 기다리는 상태를 말합니
reakwon.tistory.com
https://yunmorning.tistory.com/51
[Operating System] Condition Variable
상호배제의 문제는 lock을 통해서 해결했지만, lock은 쓰레드 간에 lock을 얻는 순서를 정해줄 수 있는 기능은 없다. 이와 같은 ordering의 문제는 CV와 semaphore를 통해서 해결할 수 있다. CV란? CV란 말
yunmorning.tistory.com
https://velog.io/@kmin-283/Condition-Variables#the-correct-producerconsumer-solution
Condition Variables
concurrent program을 위한 유일한 요소는 lock뿐만이 아니다.thread들이 실행을 계속할지의 여부를 결정하기 위해서는 condition을 확인해야한다.위의 코드처럼 부모 thread가 자식 thread의 종료를 기다리는
velog.io
http://csi.skku.edu/wp-content/uploads/10-pthreads_2.pdf
http://www.lifl.fr/~marquet/ens/pp/td-mt.html
TD : Introduction au multithreading
Ce document a été produit par HEVEA.Votre browser peut avoir a être configuré pour afficher correctement certains symboles.Reportez-vous à la documentation d'HEVEA. Maîtrise d'informatique TD : Introduction au multithreading Ce document est disponibl
www.lifl.fr
@ 드디어 14주차 끝, 종강! 월요일 실시간 당일 과제 지옥 같았지만 재밌었당 그래도 다신 보지 말자
728x90'System Programming > Ubuntu Linux' 카테고리의 다른 글
시스템 프로그래밍 실습 13주차 : Synchronization 1 (0) 2021.11.21 시스템 프로그래밍 실습 12주차 : Concurrent Programming (0) 2021.11.15 시스템 프로그래밍 실습 11주차 : Pthreads (0) 2021.11.08 시스템 프로그래밍 실습 10주차 : Sockets (0) 2021.11.01 Shell 만들기 참고할 것 (0) 2021.10.28