-
[2023 Winter Multimodal Seminar 3. Reasoning 1) Structure Modeling] Memory Fusion Network for Multi-view Sequential Learning 리뷰 (AAAI, 2018, Oral)AI/Multimodal 2023. 1. 25. 11:09728x90
[2023 Winter Multimodal Seminar 3. Reasoning 1) Structure Modeling]
Memory Fusion Network for Multi-view Sequential Learning 리뷰 (AAAI, 2018)
목차
0. 들어가기 전에 ... Reasoning이란 ?
1. Introduction
2. Methods
3. Experiments
4. Results
5. Conclusion
6. Code Review
0. 들어가기 전에 ... Reasoning이란 ?

Reasoning은 일반적으로 task에 대한 여러 inferential steps를 통해 multimodal evidence로부터 knowledge을 구성하는 것을 목표로 한다
세부 챌린지로는 Structure Modeling, Intermediate Concepts, Inference Paradigms, External Knowledge으로 구성된다.

그 중 오늘 읽을 논문은 Structure Modeling 에 해당한다
Structure Modeling 은 그 구성이 발생한 그 관계를 정의하는 것을 목표로 한다. 이 중 오늘 볼 논문은 Temporal(Sequential)한 구조를 잘 다루는 모델에 대한 것이다


위 그림을 보면,
두 개의 모달리티 정보를 잘 align해서 각 timestamp마다 하나의 representation을 뽑아낸다 (우리 여기까지 논문 읽었죠 ? ^^)
하지만 아직 각 timestamp마다의 representation들을 다음 단계에서는 어떻게 잘 반영하여 학습할지는 배우지 않았다
이것이 reasoning에서 배울 것이다!
아래의 세 단계로 나눠진다
1) Writing : 각 timestep마다의 feature와 넘어온 multimodal memory 간에 유사도 계산하여 memory에 저장

2) Compose : 이전 memory와 새로운 feature 잘 합치는 weighted Fusion (👾 오늘 읽을 논문에 해당 ! )

3) Reading : Multimodal memory 정보를 잘 요약하는 function

1. Introduction
Multiview sequential data를 잘 처리하기 위해 (== Multimodal Model의 중요성 )
- 동일한 데이터여도 관점에 따라 각각 고유한 representation을 갖는다
- 따라서 데이터를 종합적이고 정확하게 기술하기 위해서는 여러 뷰를 함께 사용해야 한다 !

Multi-view sequential learning - 멀티 뷰에서는 두 가지 형태의 상호작용 모두를 반영하는 것이 중요하다
1. view-specific interactions (= unimodal)
- 하나의 뷰만 포함하는 상호작용
- 예를 들어, 발화된 작품의 순서만을 바탕으로 화자의 정서를 학습하는 것
2. crossview interactions (= bimodal, trimodal, ... )
- 여러 뷰를 포함하는 상호작용
- 예를 들어, 번개가 번쩍하는 비디오 이후에 몇 초 뒤 천둥 소리가 들리는 오디오
이런 multi-view sequential data를 다루는 세 가지 주요 타입들이 있다
- 단순히 이 모든 multiple view들을 하나의 view로 합쳐서, 모델의 input으로 넣는 방법
- 모델
- HMM (Hidden Markov Model)
- SVM
- HCRF (Hidden Conditional Random Fields)
- RNN 계열 (LSTM)
- 단점
- 작은 size의 training sample에 overfitting되게 한다
- 이유 : 각 view는 특정한 statistical property를 가지는데, 이런 단순한 방식으로는 그 statistical property를 고려할 수 없기 때문에
- 작은 size의 training sample에 overfitting되게 한다
- 모델
- 위에서 말한 방법보다 좀 더 체계적으로 접근하기 위해, multi view variation을 다루는 방법
- 모델
- Multi view HCRF (기존의 HCRF에서 multi view를 잘 다룰 수 있도록 변형 )
- Multi view LSTM (각 view마다 각 component으로 나눠서 )
- 단점
- 서술 X , 하지만 각각 따로따로 input으로 넣으면 서로 간의 연관성이 잘 학습 안 되지 않을까 ?
- 모델
- 각 다른 view들의 temporal representation을 배우기 위해서 time dimension을 붕괴(?)시켜버리는 경우
- 모델
- 시간에 따른 feature values의 평균을 이용
- Multiple Kernel Learning, subspace learning, co-training
- 각 view마다 다른 모델들로 학습하고, 아래의 방법으로 그 모델들을 합치는 방법
- decision voting
- tensor product
- dnn
- 시간에 따른 feature values의 평균을 이용
- 단점
- 위의 방법들은 각 view간의 관계들을 어느정도 배우긴 하지만, temporal dimension을 고려하지 않음으로써 representation을 학습하는 데 한계가 있고 결국 이는 성능에 영향을 미친다
- 엄청나게 긴 sequence들을 고려할 때 모든 temporal information이 충분하게 고려되지 않는다
- 위의 방법들은 각 view간의 관계들을 어느정도 배우긴 하지만, temporal dimension을 고려하지 않음으로써 representation을 학습하는 데 한계가 있고 결국 이는 성능에 영향을 미친다
- 모델
- 본 논문은 뭐가 다른가 ?
- 단순히 합치는 방법이 아니라 각 뷰를 고려한다는 점에서 첫번째 방법과 다름
- view specific한 정보만 반영하는 두번째 방법과 달리 attention network을 통해 cross view 정보까지도 반영한다
- 세번째 모델과는 이 view specific / cross view 정보를 시간별로 잘 학습한다는 점에서 다름
2. Methods
모델은 크게 세 가지 부분으로 구성

1. System of Long Short Term Memory : LSTM으로 각 부분에 대해 인코딩함 (View Specific)
2. Delta-memory Attention Network (DMAN) : 각 LSTM의 memory dimensions에서 relevant score를 계산해서 cross-view interactions을 파악함 (both crossview and temporal interactions)
3. Multi-view Gated Memory : DMAN의 출력 값과 이전 timestep에 대한 memory을 기반으로 업데이트하여 시간에 따른 cross-view information 정보를 저장한다 (temporal interactions)
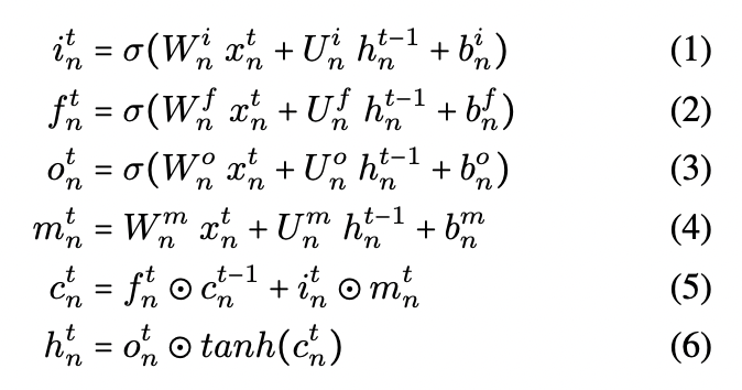
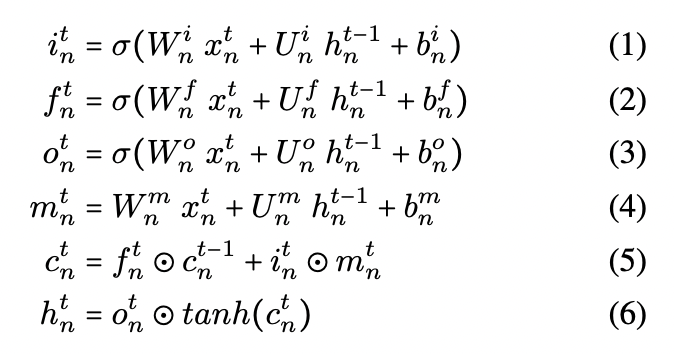
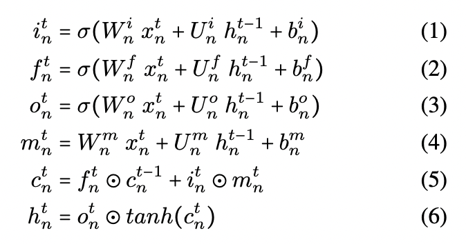
1. System of Long Short Term Memory
각 timestamp마다 view-specific interactions 계산


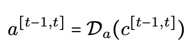
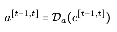
2. Delta-memory Attention Network
- 앞서 LSTM에서 뽑아낸 각 representation 간의 cross-view interactions을 잘 반영하기 위한 것
- 여기서는 coefficients가 핵심
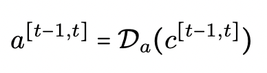
- 이 모듈에서는 NN 통해서 attention coefficient(a[t-1, t]) 계산하는데
- coefficient assignment technique을 통해 각 모달의 representation 간의 cross-view interaction을 잘 반영하게 되는 것
- 하지만 t 시간 하나에 대한 coefficient만 고려한다면, LSTM memories이 변경되지 않은 경우에(동일한 장면이 계속 나온다든가) 동일한 cross-view interactions가 계속 발생하기 때문에 ... 문제가 된다

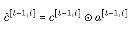
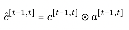
파란색은 아래의 코드에서 c 값 (단순히 concat한 것) input : c[t-1,t] / t-1 시간 t 시간에 해당하는 메모리의 concat

a[t-1, t] : NN 통해서 attention coefficient 계산 / softmax activated scores - 높은 coefficients값을 regularize하기 위함

output : c^[t-1, t] / 다른 timestamp에 정보 전달하는 역할
코드 상에서 확인하면 다음과 같다

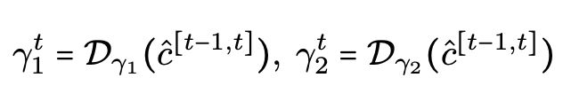
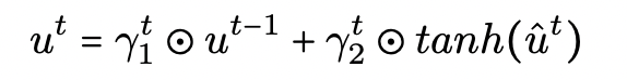
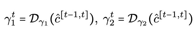
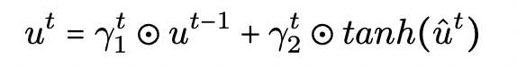
3. Multi-view Gated Memory
시간에 따른 cross-view interactions의 기록들을 다 저장하는 부분

input : c^[t-1, t] / NN 통해서 a cross-view update proposal 생성

r1 / r2 계산
- γ1는 retain 하기 위한 gate로써의 역할 (이전 memory인 u_t-1 를 얼마나 유지할 것인가)
- γ2는 update 하기 위한 gate로써의 역할 (update proposal uˆ t을 기반으로 얼마나 업데이트 할 것인가 )
- update proposal uˆ t에 tan_h 씌운 이유는 큰 변화를 막아서 model stability를 향상시키기 위함

output : u^t

- 최종 output은
- the final state of the Multi-view Gated Memory u T
- the outputs of each of the n LSTMs

3. Experiments
데이터셋

- Sentiment Analysis : negative, positive, neutral 구분하는 task
- CMU-MOSI dataset
- MOUD dataset
- YouTube dataset
- ICT-MMMO dataset
- Emotion Recognition : basic emotions + continuous emotions (anger, happiness, sadness, neutrality, ..) 구분하는 task
- IEMOCAP dataset
- Speaker Traits Analysis : 화자의 대화 행동을 분석하는 task
- POM dataset (http://multicomp.cs.cmu.edu/resources/pom-dataset/)

Sequence Features
- Language View
- Glove word embeddings : 300 dimensional word embeddings trained on 840 billion tokens from the common crawl dataset
- 300차원
- Visual View
- the library Facet (iMotions 2017) is used to extract a set of visual features including facial action units, facial landmarks, head pose, gaze tracking and HOG features
- 35차원
- Acoustic View
- the software COVAREP is used to extract acoustic features including 12 Mel-frequency cepstral coefficients, pitch tracking and voiced/unvoiced segmenting features, glottal source parameters , peak slope parameters and maxima dispersion quotients .
- 74차원
Baselines
- View Concatenation Sequential Learning Models
- Song2013 (⊲)
- Morency2011 : Hidden Markov Model (×)
- Quattoni2007 : Hidden Conditional Random Field (HCRF) (≀)
- Morency2007 : Latent Discriminative Hidden Conditional Random Fields (LDHCRFs) (#)
- Hochreiter1997 : LSTM (§)
- Multi-view Sequential Learning Models
- Rajagopalan2016 : Multi-view (MV) LSTM (◇)
- Song2012 : MV-HCRF (⊳)
- Song2013MV : MV-HSSHCRF (∪)
- Dataset Specific Baselines
- Poria2015 : Multiple Kernel Learning (♣)
- Nojavanasghari2016 : Deep Fusion Approach (♭)
- Zadeh2016 : Support Vector Machine (♡)
- Ho1998 : Random Forest (●)
- Dataset Specific State-of-the-art Baselines
- Poria2017 : Bidirectional Contextual LSTM (†)
- IEMOCAP / MOUD SOTA
- Zadeh2017 : Tensor Fusion Network (∗)
- CMU-MOSI SOTA
- Wang2016 : Selective Additive Learning Convolutional Neural Network (∩)
- Poria2017 : Bidirectional Contextual LSTM (†)
- MFN Ablation Study Baselines
- MFN {l, v, a}: These baselines use only individual views – l for language, v for visual, and a for acoustic.
- MFN (no ∆): This variation of our model shrinks the context to only the current timestamp t in the DMAN.
- MFN (no mem): This variation of our model removes the Delta-memory Attention Network and Multi-view Gated Memory from the MFN
4. Results
- Metrics
- BA : Binary Acc.
- MA : multiclass accuracy
- r : Pearson’s correlation

- MFN Achieves State-of-The-Art Performance for Multiview Sequential Modeling
- Ablation Study

5. Conclusion
- 논문의 장점
- 지금의 시점에서는 너무 간단해 보이지만, 이 논문이 나왔을 시점에서는 이전 연구들의 한계를 잘 정리해서 극복하고자 했던 점이 좋았다. -> 특히 Temporal information을 반영하고자 했던 연구가 이전에 없었던 것을 해결 !
- 논문의 단점
- 결과 레포팅 너무 보기 힘들었다 효율적인 레포팅 요망
- 시간 폭을 더 늘려본다든가 그런 실험도 있었으면 좋았을 것 같은데 !
6. Code Review
class MFN(nn.Module): def __init__(self,config,NN1Config,NN2Config,gamma1Config,gamma2Config,outConfig): super(MFN, self).__init__() [self.d_l,self.d_a,self.d_v] = config["input_dims"] [self.dh_l,self.dh_a,self.dh_v] = config["h_dims"] total_h_dim = self.dh_l+self.dh_a+self.dh_v self.mem_dim = config["memsize"] window_dim = config["windowsize"] output_dim = 1 attInShape = total_h_dim*window_dim gammaInShape = attInShape+self.mem_dim final_out = total_h_dim+self.mem_dim h_att1 = NN1Config["shapes"] h_att2 = NN2Config["shapes"] h_gamma1 = gamma1Config["shapes"] h_gamma2 = gamma2Config["shapes"] h_out = outConfig["shapes"] att1_dropout = NN1Config["drop"] att2_dropout = NN2Config["drop"] gamma1_dropout = gamma1Config["drop"] gamma2_dropout = gamma2Config["drop"] out_dropout = outConfig["drop"] self.lstm_l = nn.LSTMCell(self.d_l, self.dh_l) self.lstm_a = nn.LSTMCell(self.d_a, self.dh_a) self.lstm_v = nn.LSTMCell(self.d_v, self.dh_v) self.att1_fc1 = nn.Linear(attInShape, h_att1) self.att1_fc2 = nn.Linear(h_att1, attInShape) self.att1_dropout = nn.Dropout(att1_dropout) self.att2_fc1 = nn.Linear(attInShape, h_att2) self.att2_fc2 = nn.Linear(h_att2, self.mem_dim) self.att2_dropout = nn.Dropout(att2_dropout) self.gamma1_fc1 = nn.Linear(gammaInShape, h_gamma1) self.gamma1_fc2 = nn.Linear(h_gamma1, self.mem_dim) self.gamma1_dropout = nn.Dropout(gamma1_dropout) self.gamma2_fc1 = nn.Linear(gammaInShape, h_gamma2) self.gamma2_fc2 = nn.Linear(h_gamma2, self.mem_dim) self.gamma2_dropout = nn.Dropout(gamma2_dropout) self.out_fc1 = nn.Linear(final_out, h_out) self.out_fc2 = nn.Linear(h_out, output_dim) self.out_dropout = nn.Dropout(out_dropout) def forward(self,x): x_l = x[:,:,:self.d_l] x_a = x[:,:,self.d_l:self.d_l+self.d_a] x_v = x[:,:,self.d_l+self.d_a:] # x is t x n x d n = x.shape[1] t = x.shape[0] self.h_l = torch.zeros(n, self.dh_l).cuda() self.h_a = torch.zeros(n, self.dh_a).cuda() self.h_v = torch.zeros(n, self.dh_v).cuda() self.c_l = torch.zeros(n, self.dh_l).cuda() self.c_a = torch.zeros(n, self.dh_a).cuda() self.c_v = torch.zeros(n, self.dh_v).cuda() self.mem = torch.zeros(n, self.mem_dim).cuda() all_h_ls = [] all_h_as = [] all_h_vs = [] all_c_ls = [] all_c_as = [] all_c_vs = [] all_mems = [] for i in range(t): # prev time step prev_c_l = self.c_l prev_c_a = self.c_a prev_c_v = self.c_v # curr time step new_h_l, new_c_l = self.lstm_l(x_l[i], (self.h_l, self.c_l)) new_h_a, new_c_a = self.lstm_a(x_a[i], (self.h_a, self.c_a)) new_h_v, new_c_v = self.lstm_v(x_v[i], (self.h_v, self.c_v)) # concatenate prev_cs = torch.cat([prev_c_l,prev_c_a,prev_c_v], dim=1) new_cs = torch.cat([new_c_l,new_c_a,new_c_v], dim=1) cStar = torch.cat([prev_cs,new_cs], dim=1) attention = F.softmax(self.att1_fc2(self.att1_dropout(F.relu(self.att1_fc1(cStar)))),dim=1) attended = attention*cStar cHat = F.tanh(self.att2_fc2(self.att2_dropout(F.relu(self.att2_fc1(attended))))) both = torch.cat([attended,self.mem], dim=1) gamma1 = F.sigmoid(self.gamma1_fc2(self.gamma1_dropout(F.relu(self.gamma1_fc1(both))))) gamma2 = F.sigmoid(self.gamma2_fc2(self.gamma2_dropout(F.relu(self.gamma2_fc1(both))))) self.mem = gamma1*self.mem + gamma2*cHat all_mems.append(self.mem) # update self.h_l, self.c_l = new_h_l, new_c_l self.h_a, self.c_a = new_h_a, new_c_a self.h_v, self.c_v = new_h_v, new_c_v all_h_ls.append(self.h_l) all_h_as.append(self.h_a) all_h_vs.append(self.h_v) all_c_ls.append(self.c_l) all_c_as.append(self.c_a) all_c_vs.append(self.c_v) # last hidden layer last_hs is n x h last_h_l = all_h_ls[-1] last_h_a = all_h_as[-1] last_h_v = all_h_vs[-1] last_mem = all_mems[-1] last_hs = torch.cat([last_h_l,last_h_a,last_h_v,last_mem], dim=1) output = self.out_fc2(self.out_dropout(F.relu(self.out_fc1(last_hs)))) return outputReference
https://arxiv.org/pdf/1802.00927.pdf
728x90'AI > Multimodal' 카테고리의 다른 글